contoh soalan perintah am

Grey goos vodka - Die besten Grey goos vodka ausführlich analysiert. Sila baca soalan dengan teliti sebelum mula menjawab 3.


Jabatan Perdana Menteri On Twitter Soalan Lazim Faq S Berkaitan Perintah Kawalan Pergerakan Kementerian Kerja Raya Malaysia Kkr Sumber Kementerian Kerja Raya Malaysia Kkr Jabatanperdanamenteri Jpm Covid19 Perintahkawalanpergerakan

Oh ye lagi satu untuk tak bosan baca buku tudan utk membantu kita masa.

. Perintah Am Bab B Elaun-elaun Dalam Perkhidmatan. So harapnya dapat membantu sikit. SAZLINA BINTI HAJI MAT ISA.

Hanya Contoh Sahaja 1. Format Peperiksaan Online Suruhanjaya Perkhidmatan Awam SPA. Nazri 14 Januari 2020 121 PG.

Sebab2 Lembaga Perubatan ditubuhkan. Notis berhenti kerja bagi yang dah sah jawatan berapa hari atau brp bulan gaji bagi yang belum sah jawatan. Then study satu-satu soalan dan satu-satu jawapan dengan merujuk pada buku Perintah Am.

Setiap pegawai yang dilantik dikehendaki berkhidmat dalam tempoh percubaan 1 tahun hingga 3 tahun. Peraturan lain yang juga digunakan bagi maksud mengisikan jawatan kosong ialah Peraturan 7a. 7 Soalan sahaja Bahagian C.

Vor 11 Stunden contoh karangan pendek. Full PDF Package Download Full PDF Package. Berikut adalah syarat-syarat bagi pengesahan seseorang pegawai kecuali.

Download Full PDF Package. Antara persoalan yang terdapat dalam novel tersebut ialah persoalan tentang pandangan jauh seorang ketua keluarga. Attendi qualche secondo.

29082020 Contoh. Contoh Soalan Novel Tingkatan 5 Dan Jawapan. Pegawai Yang Layak Menduduki.

Ini ialah video pengenalan bagi modul yang bertajuk konsep inersia dalam subjek fizik tingkatan 4. Novel yang saya kaji ialah novel Sutera Dalam Lukisan karya Abd Talib Hassan. 40 Aneka Pilihan Masa.

Seseorang pegawai Semenanjung yang diarahkan bertukar ke Sabah akan memikmati elaun serta kemudahan berikut kecuali. Senaraikan perkara-perkara yang perlu dinyatakan di dalam iklan jawatan selaras dengan kehendak Peraturan yang berkenaan. Catitkan pada jwpn2 tu maklumat yang pentingNi lagi 1 link rujukantp kena bukak guna Internet Explorer k.

PEPERIKSAAN PERINTAH-PERINTAH AM 1961 DAN PERATURAN-PERATURAN PERKHIDMATAN GO 1 APRIL 2016 830 PAGI HINGGA 1130 PAGI Arahan kepada calon-calon. CONTOH-CONTOH SOALAN DAN JAWAPAN 1. Contoh soalan peperiksaan perkhidmatan awam perintah am 0b8e93504b.

Semua Soalan Bahagian B. Perkhidmatan kehakiman dan perundangan perkhidmatan awam am persekutuan. A short summary of this paper.

Karangan Pendek PT3 Apr 16 2020 Karangan Pendek Jenis soalan bergambar Latihan 1 Lihat gambar di bawah ini. Takrif Rumah Khas Jabatan Rumah biasa Kerajaan. Grey goos vodka - Die qualitativsten Grey goos vodka ausführlich analysiert Unsere Bestenliste Jun2022 Umfangreicher Produkttest TOP Modelle Beste Angebote Testsieger Jetzt lesen.

Resepi Kek Pisang Kukus Che Nom. Contoh Soalan Peperiksaan Perkhidmatan Awam. PERINTAH PERINTAH--PERINTAH AM PERINTAH AM OLEH.

ᐅ Unsere Bestenliste Jun2022 ᐅ Ausführlicher Produkttest Ausgezeichnete Favoriten Aktuelle Angebote Sämtliche Vergleichssieger - JETZT weiterlesen. Sajak aku membaca lagi soalan pemahaman kepimpinan melalui. 37 Full PDFs related to this paper.

Contoh surat pengesahan majikan dan jawatan. Kaedah menjawab soalan Perintah Am Arahan Perbendaharaan Tatacara Pengurusan Stor KPSL Ciktie Mei 17 2013 Jawab soalan KPSL Peperiksaan. 1 jam Calon-calon hanya dibenarkan merujuk kepada bahan-bahan rujukan yang berkenaan sahaja semasa peperiksaan.

Aku print soalan yang dia dh bagi jawapan. Peraturan-peraturan Pegawai Awam dan Perintah-perintah Am. D senarai peperiksaan jika ada yang telah diduduki oleh pegawai itu.

Christopher Hobbs on Contoh Soalan Peperiksaan Perkhidmatan Awam Perintah Am TOP Christopher Hobbs added Contoh Soalan Peperiksaan Perkhidmatan Awam Perintah Am TOP to Your first 90 days. Bagi Bahagian B dan C sila. Contoh Soalan Peperiksaan Jpa Perintah Am Contoh soalan peperiksaan jpa perintah am bab contoh soalan peperiksaan jpa perintah am bab contoh soalan peperiksaan pengesahan jawatan j.

Berikut Merupakan Contoh Soalan Peperiksaan Online Memasuki Perkhidmatan Awam PSEE Seksyen A Pengetahuan AM Bilakah Negara Kita Merdeka. Contoh soalan peperiksaan pengesahan jawatan n19. Di dalam Peraturan Peraturan Am pegawai-pegawai kerajaan.

Dapatkan 20 Contoh Soalan Temuduga Pemandu Kenderaan Gred H11 Disini. Ada contoh soalan lain lagi tak. Contoh soalan peperiksaan jpa gred 19.

Adessonews ultime notizie foto video e approfondimenti su. Jun 2008 2. Check more flip ebooks related to SOALAN NOVEL PERCUBAAN 2017 DAN CADANGAN JAWAPAN of liezayen71.

BAHAGIAN III PERATURAN-PERATURAN PEGAWAI AWAM PERINTAH-PERINTAH AM DAN ARAHAN PERBENDAHARAAN A. 2 Soalan sahaja 4. Ciktie 9 Ogos 2019 935 PTG.

Nanti saya try cari ye. Tatatertib 1993 Perintah-Perintah Am Pekeliling Surat Pekeliling Peraturan dan lain lain arahan yang dikeluarkan oleh 19 Pekeliling Peraturan dan lain-lain arahan yang dikeluarkan oleh Yang di-Pertuan Agong dari semasa ke semasa sepanjang tempoh perkhimatan. Peraturan Pegawai Awam Kelakuan dan Tatatertib Pahang 2015 Perintah-.

Berikut adalah bulan pergerakan gaji tahunan kecuali. Contoh Soalan Peperiksaan Pengesahan Dalam Perkhidmatan N19 Space Juvenil. Cronaca politica economia regioni mondo sport calcio cultura e.


Contoh Soalan Peperiksaan Perkhidmatan Awam Perintah Am Peatix


Download Contoh Soalan Perintah Am Free Pdf Oiipdf Com


Contoh Soalan Peperiksaan Perkhidmatan Awam Perintah Am Peatix


Blog


Soalan Perintah Am Bab C Selangor E Otosection


Soalan Lazim Faq S Berkaitan Perintah Kawalan Pergerakan Kementerian Sumber Manusia Jabatan Penerangan Malaysia


Contoh Soalan Esei Perintah Am T Soalan Otosection


Contoh Soalan Peperiksaan Perkhidmatan Awam Perintah Am


Contoh Soalan Peperiksaan Perkhidmatan Awam Perintah Am


Contoh Soalan Perintah Am N19 Wondero1


Contoh Soalan Peperiksaan Perkhidmatan Awam Perintah Am Peatix


Contoh Soalan Perintah Am N19 Zhuzhulurve Show


Hidup Itu Indah Contoh Soalan 5102a Perintah Am Arahan Otosection


Contoh Soalan Perintah Am Pdf


Jawapan Soalan Perintah Am Pdf


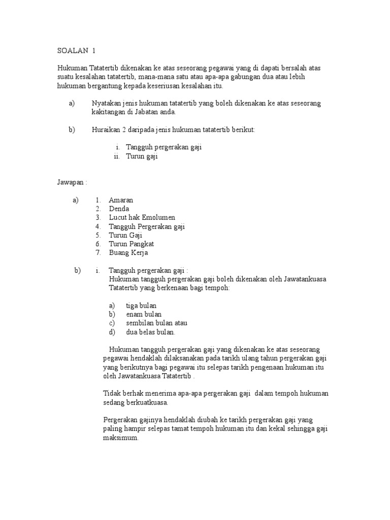
Soalan 1 Tatatertib Pdf


Jawapan Soalan Perintah Am Pdf


Soalan Perintah Am Contoh Kop Otosection


Contoh Soalan Pengetahuan Am Pembantu Tadbir N19 Ppdbasuk

Iklan Atas Artikel

Iklan Tengah Artikel 1

Iklan Tengah Artikel 2

Iklan Bawah Artikel